IPB
ЛогинПароль:

 
 Ответить  Открыть новую тему 
> Решение системы нелинейных уравнений методом Ньютона, условия разрешимости
Scorp_Freeman
сообщение 28.11.2007 18:43
Сообщение #1


Пионер
**

Группа: Пользователи
Сообщений: 68
Пол: Мужской
Реальное имя: Сергей

Репутация: -  0  +


Здраствуйте! Вот при программировании этого метода возник след вопрос)

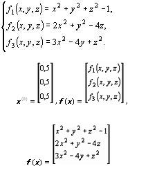
Каков размер должна иметь матрица описывающая симтему уравнений содержащих n неизвестных, например для 2ух неизвестных примером уравнения может быть x*x +3y*y+z+1=0, 2x*x+y+z+z=0, исключая возможность таких слогаемых как 3*x*y...

Просто в задании мне изначально не указано количество переменных(
Как быть?(


Как я понимаю количество уравнений должно быть равно количеству переменных или я не прав?
Или количеству слагаемых (для 2 переменных - 5, для 3 - 7 )?




Проблемы возникают у меня про нахождении опредилителя ..... не знаю его порядок

Сообщение отредактировано: Scorp_Freeman - 28.11.2007 19:04


Эскизы прикрепленных изображений
Прикрепленное изображение
 Оффлайн  Профиль  PM 
 К началу страницы 
+ Ответить 
Scorp_Freeman
сообщение 30.11.2007 15:40
Сообщение #2


Пионер
**

Группа: Пользователи
Сообщений: 68
Пол: Мужской
Реальное имя: Сергей

Репутация: -  0  +


smile.gif понял, решил сотворить только для трех переменных ))
 Оффлайн  Профиль  PM 
 К началу страницы 
+ Ответить 
Гость
сообщение 12.10.2011 17:49
Сообщение #3


Гость






Цитата(Scorp_Freeman @ 30.11.2007 15:40) *

smile.gif понял, решил сотворить только для трех переменных ))

скинь на мыло *****
 К началу страницы 
+ Ответить 
Lapp
сообщение 13.10.2011 4:58
Сообщение #4


Уникум
*******

Группа: Модераторы
Сообщений: 6 823
Пол: Мужской
Реальное имя: Лопáрь (Андрей)

Репутация: -  159  +


Цитата(Гость @ 12.10.2011 18:49) *

скинь на мыло *****

Гость, ты зарегься и посмотри, когда этот юзер заходил в последний раз.. ))
А заодно и Правила почитай. Нельзя постить мыло и просить прислать.


--------------------
я - ветер, я северный холодный ветер
я час расставанья, я год возвращенья домой
 Оффлайн  Профиль  PM 
 К началу страницы 
+ Ответить 

 Ответить  Открыть новую тему 
1 чел. читают эту тему (гостей: 1, скрытых пользователей: 0)
Пользователей: 0

 



- Текстовая версия 30.04.2026 23:24
Хостинг предоставлен компанией "Веб Сервис Центр" при поддержке компании "ДокЛаб"