IPB
ЛогинПароль:

 
 Ответить  Открыть новую тему 
> Относительное число молекул
18192123
сообщение 22.04.2007 14:21
Сообщение #1


Профи
****

Группа: Пользователи
Сообщений: 920
Пол: Женский
Реальное имя: Марина

Репутация: -  2  +


Не понятен смысл выделенной на рисунке величины и что значит относительное число молекул газа?


Эскизы прикрепленных изображений
Прикрепленное изображение
 Оффлайн  Профиль  PM 
 К началу страницы 
+ Ответить 
Lapp
сообщение 23.04.2007 9:15
Сообщение #2


Уникум
*******

Группа: Модераторы
Сообщений: 6 823
Пол: Мужской
Реальное имя: Лопáрь (Андрей)

Репутация: -  159  +


Цитата(18192123 @ 22.04.2007 15:21) *

Не понятен смысл выделенной на рисунке величины и что значит относительное число молекул газа?

Относительное число есть отношение абсолютного числа молекул, удовлетворяющих условию задачи к полному числу молекул. Можно его выразить в долях единицы, можно в процентах.


--------------------
я - ветер, я северный холодный ветер
я час расставанья, я год возвращенья домой
 Оффлайн  Профиль  PM 
 К началу страницы 
+ Ответить 
18192123
сообщение 24.04.2007 21:29
Сообщение #3


Профи
****

Группа: Пользователи
Сообщений: 920
Пол: Женский
Реальное имя: Марина

Репутация: -  2  +


А из чего исходить при решении задачи?
 Оффлайн  Профиль  PM 
 К началу страницы 
+ Ответить 
Sto
сообщение 26.04.2007 1:38
Сообщение #4


Пионер
**

Группа: Пользователи
Сообщений: 70
Пол: Мужской
Реальное имя: Илья

Репутация: -  2  +


Случайно не Феймановские лекции??
 Оффлайн  Профиль  PM 
 К началу страницы 
+ Ответить 
18192123
сообщение 26.04.2007 16:14
Сообщение #5


Профи
****

Группа: Пользователи
Сообщений: 920
Пол: Женский
Реальное имя: Марина

Репутация: -  2  +


Цитата(Sto @ 26.04.2007 2:38) *

Случайно не Феймановские лекции??

?????????
 Оффлайн  Профиль  PM 
 К началу страницы 
+ Ответить 
18192123
сообщение 27.04.2007 20:02
Сообщение #6


Профи
****

Группа: Пользователи
Сообщений: 920
Пол: Женский
Реальное имя: Марина

Репутация: -  2  +


Подскажите пожалуйста ход решения задачи!
 Оффлайн  Профиль  PM 
 К началу страницы 
+ Ответить 
18192123
сообщение 8.05.2007 23:27
Сообщение #7


Профи
****

Группа: Пользователи
Сообщений: 920
Пол: Женский
Реальное имя: Марина

Репутация: -  2  +


Пожалуйста, объясните, как решать задачу! Натолкните на верное решение!
 Оффлайн  Профиль  PM 
 К началу страницы 
+ Ответить 
Lapp
сообщение 9.05.2007 4:34
Сообщение #8


Уникум
*******

Группа: Модераторы
Сообщений: 6 823
Пол: Мужской
Реальное имя: Лопáрь (Андрей)

Репутация: -  159  +


Цитата(18192123 @ 9.05.2007 0:27) *

Натолкните на верное решение!

А разве я не ответил?.. blink.gif извиняюсь.. привычка писать в нескольких окнах сразу, при этом комп изредка все же падает..

Берешь функцию распределения по скоростям. Смотришь на ее максимум - он достигается при наиболее вероятном значении (допустим, Vo). Потом берешь интеграл этой функции от Vo*0.95 до Vo*1.05 - вот и все.. Причем, интегрировать на самом деле не обязательно, нужно просто домножить значение функции на 0.01*Vo - да и все (то есть заменить интеграл прямоугольничком).
Для среднеквадратичной скорости поступить аналогично.


--------------------
я - ветер, я северный холодный ветер
я час расставанья, я год возвращенья домой
 Оффлайн  Профиль  PM 
 К началу страницы 
+ Ответить 
18192123
сообщение 9.05.2007 17:39
Сообщение #9


Профи
****

Группа: Пользователи
Сообщений: 920
Пол: Женский
Реальное имя: Марина

Репутация: -  2  +


Цитата(Lapp @ 9.05.2007 5:34) *

А разве я не ответил?.. blink.gif извиняюсь.. привычка писать в нескольких окнах сразу, при этом комп изредка все же падает..

Берешь функцию распределения по скоростям. Смотришь на ее максимум - он достигается при наиболее вероятном значении (допустим, Vo). Потом берешь интеграл этой функции от Vo*0.95 до Vo*1.05 - вот и все.. Причем, интегрировать на самом деле не обязательно, нужно просто домножить значение функции на 0.01*Vo - да и все (то есть заменить интеграл прямоугольничком).
Для среднеквадратичной скорости поступить аналогично.

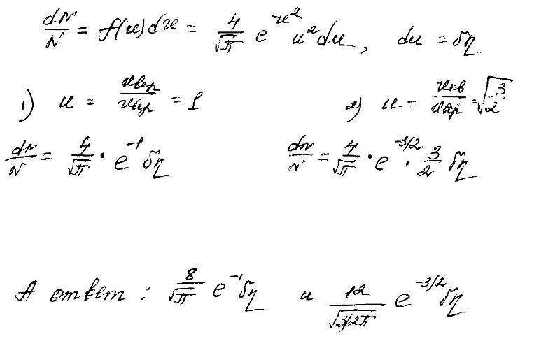
ответ у меня не сходится...в чём ошибка?


Эскизы прикрепленных изображений
Прикрепленное изображение
 Оффлайн  Профиль  PM 
 К началу страницы 
+ Ответить 
18192123
сообщение 10.05.2007 22:39
Сообщение #10


Профи
****

Группа: Пользователи
Сообщений: 920
Пол: Женский
Реальное имя: Марина

Репутация: -  2  +


Цитата(Lapp @ 9.05.2007 5:34) *

Берешь функцию распределения по скоростям. Смотришь на ее максимум - он достигается при наиболее вероятном значении (допустим, Vo). Потом берешь интеграл этой функции от Vo*0.95 до Vo*1.05 - вот и все.. Причем, интегрировать на самом деле не обязательно, нужно просто домножить значение функции на 0.01*Vo - да и все (то есть заменить интеграл прямоугольничком).
Для среднеквадратичной скорости поступить аналогично.

Если честно, ничего не поняла.... wacko.gif
 Оффлайн  Профиль  PM 
 К началу страницы 
+ Ответить 
18192123
сообщение 11.05.2007 15:32
Сообщение #11


Профи
****

Группа: Пользователи
Сообщений: 920
Пол: Женский
Реальное имя: Марина

Репутация: -  2  +


Цитата(18192123 @ 9.05.2007 18:39) *

ответ у меня не сходится...в чём ошибка?

объясните, что у меня не так????!!!
 Оффлайн  Профиль  PM 
 К началу страницы 
+ Ответить 
-ПАВЕЛ-
сообщение 22.04.2015 21:55
Сообщение #12


Гость






ОТВЕТ НУЖЕН
У МЕНЯ ПОДОБНАЯ ЗАДАЧКА . ТЫ ТАМ ЗАБЫЛА , КОГДА ЗАМЕНЯЛА ((2KT)/M)^0.5 - U . и ещё там 2появляется перед интегралом , так как интеграл берётся от u-u0 до u+u0 то есть от 2 интеграла от u до u+u0
ТАМ ТАК ПОЛУЧАЕТСЯ C:\Users\норд\Desktop\Новый точечный рисунок (2).bmp
 К началу страницы 
+ Ответить 
-ПАВЕЛ-
сообщение 22.04.2015 21:56
Сообщение #13


Гость






ОТВЕТ НУЖЕН
У МЕНЯ ПОДОБНАЯ ЗАДАЧКА . ТЫ ТАМ ЗАБЫЛА , КОГДА ЗАМЕНЯЛА ((2KT)/M)^0.5 - U . и ещё там 2появляется перед интегралом , так как интеграл берётся от u-u0 до u+u0 то есть от 2 интеграла от u до u+u0
ТАМ ТАК ПОЛУЧАЕТСЯ C:\Users\норд\Desktop\Новый точечный рисунок (2).bmp
 К началу страницы 
+ Ответить 
-ПАВЕЛ-
сообщение 22.04.2015 21:56
Сообщение #14


Гость






ОТВЕТ НУЖЕН
У МЕНЯ ПОДОБНАЯ ЗАДАЧКА . ТЫ ТАМ ЗАБЫЛА , КОГДА ЗАМЕНЯЛА ((2KT)/M)^0.5 - U . и ещё там 2появляется перед интегралом , так как интеграл берётся от u-u0 до u+u0 то есть от 2 интеграла от u до u+u0
ТАМ ТАК ПОЛУЧАЕТСЯ C:\Users\норд\Desktop\Новый точечный рисунок (2).bmp
 К началу страницы 
+ Ответить 

 Ответить  Открыть новую тему 
1 чел. читают эту тему (гостей: 1, скрытых пользователей: 0)
Пользователей: 0

 



- Текстовая версия 7.12.2025 14:38
Хостинг предоставлен компанией "Веб Сервис Центр" при поддержке компании "ДокЛаб"