IPB
ЛогинПароль:

> Компиляция правил для данного раздела

1. Заголовок темы должен быть информативным. В противном случае тема закрывается и удаляется ...
2. НЕ используйте форум для личного общения, все что не относится к обсуждению темы - на PM!
3. Одна тема - один вопрос (задача)
4. Спрашивайте и отвечайте четко и по существу!!!

> система уравнений
Yurka
сообщение 11.05.2007 12:27
Сообщение #1


Пионер
**

Группа: Пользователи
Сообщений: 143
Пол: Мужской

Репутация: -  0  +


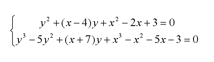
помогите решить систему уравнений (система уравнений в прикрепленном файле)


Эскизы прикрепленных изображений
Прикрепленное изображение
 Оффлайн  Профиль  PM 
 К началу страницы 
+ Ответить 

Сообщений в этой теме


 Ответить  Открыть новую тему 
1 чел. читают эту тему (гостей: 1, скрытых пользователей: 0)
Пользователей: 0

 

- Текстовая версия 9.10.2025 0:19
Хостинг предоставлен компанией "Веб Сервис Центр" при поддержке компании "ДокЛаб"