1. Заголовок темы должен быть информативным. В противном случае тема закрывается и удаляется ...
2. НЕ используйте форум для личного общения, все что не относится к обсуждению темы - на PM!
3. Одна тема - один вопрос (задача)
4. Спрашивайте и отвечайте четко и по существу!!!
| Tan |
28.04.2007 18:15
Сообщение
#1
|
![]() Профи ![]() ![]() ![]() ![]() Группа: Пользователи Сообщений: 559 Пол: Мужской Реальное имя: Бруно Репутация: 10 |
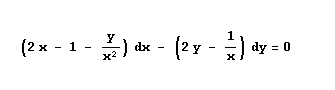
Форумчане, у меня возникла сложность в том, как начать решать дифф. уравнение прикреплённое к сообщению. Я полагаю надо привести к однородному для начала, а само задание : найти общий интеграл. Буду рад любой помощи!
Эскизы прикрепленных изображений -------------------- Цитата Imagination is more important than knowledge. Albert Einstein |
![]() ![]() |
| Tan |
28.04.2007 19:38
Сообщение
#2
|
![]() Профи ![]() ![]() ![]() ![]() Группа: Пользователи Сообщений: 559 Пол: Мужской Реальное имя: Бруно Репутация: 10 |
Вот докуда я дошёл подскажи, что дальше!
Эскизы прикрепленных изображений -------------------- Цитата Imagination is more important than knowledge. Albert Einstein |
| Fanat |
28.04.2007 19:47
Сообщение
#3
|
![]() Fanat ![]() ![]() ![]() Группа: Пользователи Сообщений: 261 Пол: Мужской Реальное имя: Сергей Репутация: 5 |
|
Tan Дифф. уравнения. 28.04.2007 18:15
Fanat
Форумчане, у меня возникла сложность в том, как н... 28.04.2007 19:05
Tan Сейчас сяду за книги буду разбираться, спасибо, чт... 28.04.2007 19:09
Fanat
Сейчас сяду за книги буду разбираться, спасибо, ч... 28.04.2007 19:26
Tan А если мой продолжать (несмотря на твой вариант, х... 28.04.2007 19:57
Fanat
А если мой продолжать (несмотря на твой вариант, ... 28.04.2007 20:06
Tan либо это обрывок мысли, либо я что - то не понял.... 28.04.2007 20:09
Fanat
либо это обрывок мысли, либо я что - то не понял.... 28.04.2007 20:16
Tan кстатия перерешал и у меня всё равно вышло всё что... 28.04.2007 20:38
Fanat
кстатия перерешал и у меня всё равно вышло всё чт... 28.04.2007 20:52
Tan а ну да, мы же С можем взять произвольную, надо бо... 28.04.2007 20:53![]() ![]() |
|
Текстовая версия | 8.12.2025 7:29 |