IPB
ЛогинПароль:

> Компиляция правил для данного раздела

1. Заголовок темы должен быть информативным. В противном случае тема закрывается и удаляется ...
2. НЕ используйте форум для личного общения, все что не относится к обсуждению темы - на PM!
3. Одна тема - один вопрос (задача)
4. Спрашивайте и отвечайте четко и по существу!!!

> Логические операции
18192123
сообщение 7.04.2007 18:13
Сообщение #1


Профи
****

Группа: Пользователи
Сообщений: 920
Пол: Женский
Реальное имя: Марина

Репутация: -  2  +


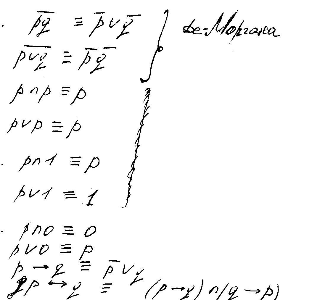
Ведено 5 логических операций (конъюнкция, дизъюнкция, отрицание, импликация, эквиваленция).
Можно обойтись 3-мя, выразив 2 другие через 3 выбранных, используя имеющиеся формулы равносильностей(см. прикрепленные файлы).

Мне нужно выбрать 4 такие тройки и доказать или опровергнуть требуемое.

Что-то я не представляю, как можно выразить...

Сообщение отредактировано: 18192123 - 7.04.2007 18:15


Эскизы прикрепленных изображений
Прикрепленное изображение Прикрепленное изображение
 Оффлайн  Профиль  PM 
 К началу страницы 
+ Ответить 
 
 Ответить  Открыть новую тему 
Ответов
КМА
сообщение 8.04.2007 0:41
Сообщение #2


Пионер
**

Группа: Пользователи
Сообщений: 69
Пол: Мужской

Репутация: -  3  +


Вначале выведем несколько равносильностей они нам пригодяться.

Коньюнкция через отрицание(*А) и дизъюнкцию (+).
Из формулы *(А+В)=*А*В получаем АB=*(*A+*B)=**A**B=AB (1)

Дизюнкция через коньюнкцию и отрицание.
Из формулы *(AB)=*A+*B получаем А+В=*(*А*В)=**А+**В=А+В (2)

Дизъюнкция через отрицание и импликацию.
Из формулы А=>B=*A+B получаем A+B=*А=>B=**A+B=A+B (3)


Дано: дизъюнкция, конъюнкция, отрицание. [I]
Доказательство: По А=>B=*A+B, далее А<=>B=(A=>B)(B=>A)

Далее задачи будет необходимо и достаточно свести к заданному набору [I]. Ведь если мы доказали, что данную операцию можно заменить, то значит мы можем ей пользоваться (ввиду того, что она всегда может быть раскрыта через основные 3).

Дано: равносильность, импликация, отрицание.
Доказательство: На первом шаге задаем по формуле (3) получаем дизъюнкцию, далее по формуле (1) выводим конъюнкцию.

Дано: дизъюнкция, импликация, отрицание.
Доказательство: На первом шаге пользуемся (1) получаем конъюнкцию, далее по набору [I]

Дано: дизюнкция, равносильность, отрицание.
Доказательство: На первом шаге пользуемся (1) получаем конъюнкцию, далее по набору [I]

Дано: конъюнкция, равносильность, отрицание.
Доказательство: На первом шаге пользуемся (2) получаем дизъюнкцию, далее по набору [I].

Дано: конъюнкция, импликация, отрицание.
Доказательство: На первом шаге пользуемся (2) получаем дизъюнкцию, далее по набору [I].

Т. е. Все четыре элемента (дизъюнкция, конъюнкция, равносильность и импликация) "взаимо заменяемые", в дальнейшем, при изучении мат логики вы это увидите.

По поводу отрицания, могу лишь сказать, что выразить его через какие-либо выражения в принципе не реально (т. к. это унарная операция, а все остальные бинарные). Доказать это просто. Т. к. у нас нет отрицания, то надо рассмотреть всего четыре операции.

А+А=А
АА=А
А=>А=1
A<=>A=1

Далее пользуясь представлениями последних двух равносильностей, видно, что
А+1=1
А1=А,
что возможность "обратить" не имеет смысла, т. к. при импликации и равносильности А принимает тождественное истинное значение, а конюкция и дизъюнкция принимает равносильные значения. Т. е. как бы выражение А не было сложно задано, мы всегда приходим к значению А или тождественно 1, что естественно не верно.

Поэтому все комбинации без отрицания не смогут выразить другие.
 Оффлайн  Профиль  PM 
 К началу страницы 
+ Ответить 

Сообщений в этой теме


 Ответить  Открыть новую тему 
1 чел. читают эту тему (гостей: 1, скрытых пользователей: 0)
Пользователей: 0

 



- Текстовая версия 8.12.2025 15:58
Хостинг предоставлен компанией "Веб Сервис Центр" при поддержке компании "ДокЛаб"