IPB
ЛогинПароль:

> Прочтите прежде чем задавать вопрос!

1. Заголовок темы должен быть информативным. В противном случае тема удаляется ...
2. Все тексты программ должны помещаться в теги [code=pas] ... [/code].
3. Прежде чем задавать вопрос, см. "FAQ", если там не нашли ответа, воспользуйтесь ПОИСКОМ, возможно такую задачу уже решали!
4. Не предлагайте свои решения на других языках, кроме Паскаля (исключение - только с согласия модератора).
5. НЕ используйте форум для личного общения, все что не относится к обсуждению темы - на PM!
6. Одна тема - один вопрос (задача)
7. Проверяйте программы перед тем, как разместить их на форуме!!!
8. Спрашивайте и отвечайте четко и по существу!!!

> Написать программу нахождения суммы, n членов ряда для заданного х при помощи ...
PORTUGAL
сообщение 6.01.2006 12:59
Сообщение #1


Новичок
*

Группа: Пользователи
Сообщений: 20
Пол: Мужской

Репутация: -  0  +


Здравствуйте. Нужна ваша помощь в решении задачи, вернее ее подзадач.
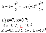
Вот задание:
Написать программу нахождения суммы:

А) n членов ряда для заданного х при помощи цикла с параметром;
Б) членов ряда с точностью e для заданного х и их количество. Использовать цикл с постусловием
В) членов ряда с точностью e для заданной последовательности х. Во внешнем цикле для подачи аргумента х использовать цикл предусловием, во внутреннем – вычислить сумму для конкретного х с точностью до е, используя цикл с постусловием; Вывести значение S,x,n.

Формулы внизу.

- Вот решение для А –
var s,x,y:real;
n,m:integer;
begin
s:=1; x:=0.7;
b:=1;
for n:=1 to 7 do
begin
b:=-b*x*x;
s:=s+b/(2*n);
end;
writeln('Result: ',s:4:2);
readln;
end.


Сообщение отредактировано: volvo - 6.11.2006 17:34


Эскизы прикрепленных изображений
Прикрепленное изображение
 Оффлайн  Профиль  PM 
 К началу страницы 
+ Ответить 
 
 Ответить  Открыть новую тему 
Ответов
volvo
сообщение 6.01.2006 13:10
Сообщение #2


Гость






Цитата
- Вот решение для А –

FAQ: Общие вопросы по математике -> Нахождение суммы ряда здесь - решение для Б)

Да и третий пункт найти в поиске можно... Если ИСКАТЬ, а не ждать, когда тебе принесут готовое !!! mad.gif Так что вперед - ссылка на поиск - у меня в подписи...
 К началу страницы 
+ Ответить 

Сообщений в этой теме


 Ответить  Открыть новую тему 
1 чел. читают эту тему (гостей: 1, скрытых пользователей: 0)
Пользователей: 0

 



- Текстовая версия 13.12.2025 15:29
Хостинг предоставлен компанией "Веб Сервис Центр" при поддержке компании "ДокЛаб"