1. Заголовок темы должен быть информативным. В противном случае тема удаляется ...
2. Все тексты программ должны помещаться в теги [code=pas] ... [/code].
3. Прежде чем задавать вопрос, см. "FAQ", если там не нашли ответа, воспользуйтесь ПОИСКОМ, возможно такую задачу уже решали!
4. Не предлагайте свои решения на других языках, кроме Паскаля (исключение - только с согласия модератора).
5. НЕ используйте форум для личного общения, все что не относится к обсуждению темы - на PM!
6. Одна тема - один вопрос (задача)
7. Проверяйте программы перед тем, как разместить их на форуме!!!
8. Спрашивайте и отвечайте четко и по существу!!!
| dim0n |
11.06.2011 14:33
Сообщение
#1
|
|
Новичок ![]() Группа: Пользователи Сообщений: 10 Пол: Мужской Реальное имя: Дмитрий Репутация: 0 |
Собственно сама задача:
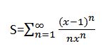
Составить программу вычисления суммы членов бесконечного числового ряда с погрешностью Е=10^-4. Определить количество членов ряда,сравнить полученное значение суммы со значением функции y=Ln(x),x=1.5. формула суммы ряда фото: мое творение:
гуру гляньте пожалуйста, правильно ли я мыслю? Сообщение отредактировано: dim0n - 11.06.2011 15:35 |
![]() ![]() |
| IUnknown |
11.06.2011 16:02
Сообщение
#2
|
![]() a.k.a. volvo877 ![]() ![]() ![]() ![]() ![]() Группа: Пользователи Сообщений: 1 013 Пол: Мужской Репутация: 627 |
В таком случае (раз ты выбрал эту формулу), я бы сделал так:
s:=0;Сравни, за сколько итераций находится решение у тебя и за сколько - в моем варианте... А вообще тут напрашивается использование repeat/until. Сделал действие, посчитал член последовательности, тут же сравнил его с погрешностью. Если не надо считать дальше - вышел, не начиная следующую итерацию цикла. Вот так я делал: http://volvo71.narod.ru/faq_folder/math.htm#taylor_ln |
| dim0n |
11.06.2011 16:27
Сообщение
#3
|
|
Новичок ![]() Группа: Пользователи Сообщений: 10 Пол: Мужской Реальное имя: Дмитрий Репутация: 0 |
А можете написать полностью программу от начала,до конца? Я просто не могу понять что и куда писать? Буду очень благодарен |
dim0n вычисление суммы членов бесконечного числового ряда 11.06.2011 14:33
IUnknown Формулу в порядок приведи, хотелось бы видеть, с п... 11.06.2011 14:42
dim0n исправил... :wub: 11.06.2011 15:36
IUnknown Зачем от начала до конца? Вот основа:
write(... 11.06.2011 16:39
dim0n блин,всё равно въехать не могу:-( я не знаю как са... 11.06.2011 17:07![]() ![]() |
|
Текстовая версия | 13.12.2025 10:44 |