IPB
ЛогинПароль:

> Прочтите прежде чем задавать вопрос!

1. Заголовок темы должен быть информативным. В противном случае тема удаляется ...
2. Все тексты программ должны помещаться в теги [code=pas] ... [/code].
3. Прежде чем задавать вопрос, см. "FAQ", если там не нашли ответа, воспользуйтесь ПОИСКОМ, возможно такую задачу уже решали!
4. Не предлагайте свои решения на других языках, кроме Паскаля (исключение - только с согласия модератора).
5. НЕ используйте форум для личного общения, все что не относится к обсуждению темы - на PM!
6. Одна тема - один вопрос (задача)
7. Проверяйте программы перед тем, как разместить их на форуме!!!
8. Спрашивайте и отвечайте четко и по существу!!!

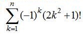
> Операторы цикла, Дано натуральное число n. Вычислить:
Lis
сообщение 26.06.2010 19:45
Сообщение #1


Новичок
*

Группа: Пользователи
Сообщений: 23
Пол: Мужской
Реальное имя: Sergey

Репутация: -  0  +


Здравствуйте! Буду признателен если поможете решить задачку.
Задание: Дано натуральное число n. Вычислить:
Нужно решить с помощью for, repeat или while.

Сообщение отредактировано: Lis - 26.06.2010 19:49


Эскизы прикрепленных изображений
Прикрепленное изображение
 Оффлайн  Профиль  PM 
 К началу страницы 
+ Ответить 
 
Closed Topic Открыть новую тему 
Ответов
Lapp
сообщение 27.06.2010 4:54
Сообщение #2


Уникум
*******

Группа: Модераторы
Сообщений: 6 823
Пол: Мужской
Реальное имя: Лопáрь (Андрей)

Репутация: -  159  +


Цитата(Lis @ 26.06.2010 20:45) *

Здравствуйте! Буду признателен если поможете решить задачку.
Задание: Дано натуральное число n. Вычислить:
Нужно решить с помощью for, repeat или while.

Можно как-то вот так:
  s:=0;
a:=1;
for k:=1 to n do begin
for i:=2*sqr(k-1)+2 to 2*sqr(k)+1 do a:=a*i;
a:=-a;
s:=s+a
end;

Учти только, что факториал очень быстро растет и выходит за границы практически любого целого типа, так что так (в лоб) ты сможешь посчитать только совсем немного (по k). К тому же у тебя под ним стоит квадрат индекса. Ни в коем случае не отключай проверку диапазона, иначе будешь считать неверно, но не узнаешь этого..


--------------------
я - ветер, я северный холодный ветер
я час расставанья, я год возвращенья домой
 Оффлайн  Профиль  PM 
 К началу страницы 
+ Ответить 

Сообщений в этой теме


Closed Topic Открыть новую тему 
1 чел. читают эту тему (гостей: 1, скрытых пользователей: 0)
Пользователей: 0

 



- Текстовая версия 8.12.2025 12:54
Хостинг предоставлен компанией "Веб Сервис Центр" при поддержке компании "ДокЛаб"