1. Заголовок темы должен быть информативным. В противном случае тема удаляется ...
2. Все тексты программ должны помещаться в теги [code=pas] ... [/code].
3. Прежде чем задавать вопрос, см. "FAQ", если там не нашли ответа, воспользуйтесь ПОИСКОМ, возможно такую задачу уже решали!
4. Не предлагайте свои решения на других языках, кроме Паскаля (исключение - только с согласия модератора).
5. НЕ используйте форум для личного общения, все что не относится к обсуждению темы - на PM!
6. Одна тема - один вопрос (задача)
7. Проверяйте программы перед тем, как разместить их на форуме!!!
8. Спрашивайте и отвечайте четко и по существу!!!
| PUMA |
19.06.2010 18:18
Сообщение
#1
|
![]() Новичок ![]() Группа: Пользователи Сообщений: 24 Пол: Женский Реальное имя: Оля Репутация: 0 |
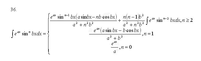
Для заданных границ интегрирования a и b вычислите значение определенного интеграла следующего вида (используя рекурсию)
как применить рекурсию? program r; Правильно ли я вообще решила Сообщение отредактировано: PUMA - 19.06.2010 18:23 -------------------- Никогда, никогда ни о чем не жалейте.Поздно начали вы или рано ушли.Кто-то пусть гениально играет на флейте.Но ведь песни берет он из вашей души.Никогда, никогда ни о чем не жалейте —Ни потерянных дней, ни сгоревшей любви.Пусть другой гениально играет на флейте,Но еще гениальнее слушали вы.
|
![]() ![]() |
| PUMA |
20.06.2010 10:37
Сообщение
#2
|
![]() Новичок ![]() Группа: Пользователи Сообщений: 24 Пол: Женский Реальное имя: Оля Репутация: 0 |
удалила случайно формулу
Эскизы прикрепленных изображений -------------------- Никогда, никогда ни о чем не жалейте.Поздно начали вы или рано ушли.Кто-то пусть гениально играет на флейте.Но ведь песни берет он из вашей души.Никогда, никогда ни о чем не жалейте —Ни потерянных дней, ни сгоревшей любви.Пусть другой гениально играет на флейте,Но еще гениальнее слушали вы.
|
PUMA Определенный интеграл 19.06.2010 18:18
Lapp значение определенного интеграла следующего вида (... 20.06.2010 1:39
Lapp удалила случайно формулуЧто это??.. :blink:
аа... 20.06.2010 10:47
PUMA ну в задании так написано...откуда тогда взялись a... 20.06.2010 10:56
Lapp Немудрено, я, например, тоже с трудом въезжаю.. Х... 20.06.2010 11:06
PUMA продолжить :blink: как куда рекурсию применить
в ... 20.06.2010 11:24
Lapp продолжить :blink: как куда рекурсию применить
в ... 20.06.2010 11:41
PUMA 1)Там где n>=2 в числителе,где синус было (a*si... 20.06.2010 11:54
Lapp 1)Там где n>=2 в числителе,где синус было (a*si... 20.06.2010 12:21
PUMA из общих соображений :10:
да вроде все понятно))п... 20.06.2010 12:35
Lapp из общих соображений :10:
функция для степени - ... 20.06.2010 12:50
Lapp Есть эта формула в Википедии ))
То есть, почти та... 20.06.2010 13:15
PUMA function IntPow(x: double; n: integer): double;
va... 20.06.2010 13:35
Lapp вроде как решает
Вау! респект тебе и твоим пре... 20.06.2010 13:57
PUMA что то я не совсем поняла зачем вычитать при n... 20.06.2010 14:15
Lapp
что то я не совсем поняла зачем вычитать при n... 20.06.2010 14:21
PUMA
Это не при n>0, а пока n>0. Это цикл. При... 20.06.2010 14:23![]() ![]() |
|
Текстовая версия | 15.11.2025 12:36 |