IPB
ЛогинПароль:

> Прочтите прежде чем задавать вопрос!

1. Заголовок темы должен быть информативным. В противном случае тема удаляется ...
2. Все тексты программ должны помещаться в теги [code=pas] ... [/code].
3. Прежде чем задавать вопрос, см. "FAQ", если там не нашли ответа, воспользуйтесь ПОИСКОМ, возможно такую задачу уже решали!
4. Не предлагайте свои решения на других языках, кроме Паскаля (исключение - только с согласия модератора).
5. НЕ используйте форум для личного общения, все что не относится к обсуждению темы - на PM!
6. Одна тема - один вопрос (задача)
7. Проверяйте программы перед тем, как разместить их на форуме!!!
8. Спрашивайте и отвечайте четко и по существу!!!

> Метод трапеций, pascal
memorex
сообщение 16.06.2010 20:19
Сообщение #1





Группа: Пользователи
Сообщений: 2
Пол: Мужской

Репутация: -  0  +


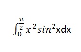
Вычеслить определенный интерграл с заданной точностью(задается с клавиатуры) Вывести на экран значение интеграла, кол-во разбиений, значение первообразной. Нарисовать график подинтегральной функции и показать, как происходит разбиение.

Е=0,0001 - точность

ПервообразнаяПрикрепленное изображение

ИнтегралПрикрепленное изображение
 Оффлайн  Профиль  PM 
 К началу страницы 
+ Ответить 
 
 Ответить  Открыть новую тему 
Ответов
Ozzя
сообщение 17.06.2010 14:53
Сообщение #2


Гуру
*****

Группа: Пользователи
Сообщений: 1 220
Пол: Мужской

Репутация: -  16  +


Цитата
Вычеислить определенный интерграл

Ну, так и вычисляй! Кто мешает-то?
Можно наверх страницы взглянуть.

Сообщение отредактировано: Ozzя - 17.06.2010 15:01
 Оффлайн  Профиль  PM 
 К началу страницы 
+ Ответить 

Сообщений в этой теме


 Ответить  Открыть новую тему 
1 чел. читают эту тему (гостей: 1, скрытых пользователей: 0)
Пользователей: 0

 



- Текстовая версия 8.12.2025 15:58
Хостинг предоставлен компанией "Веб Сервис Центр" при поддержке компании "ДокЛаб"