| Vinchkovsky |
13.02.2009 22:48
Сообщение
#1
|
|
Пионер ![]() ![]() Группа: Пользователи Сообщений: 98 Пол: Мужской Реальное имя: Andriy Репутация: 0 |
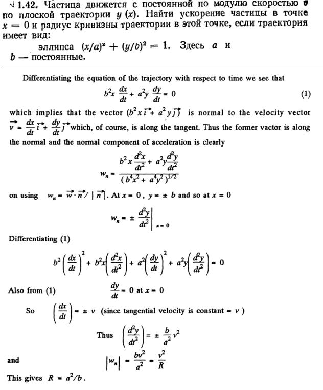
Прошу помочь - объяснить некоторые шаги в решении задания (оба прикреплены), сам ну никак не могу разобраться.
Все, что идет после выражения с ускорением (и оно в т.ч.), непонятно. Откуда в "вершине" дроби квадраты у производных? Да и ход решения немного неясен, очень прошу немного комментариев (буквально несколько слов в описание шагов решения) Спасибо. Эскизы прикрепленных изображений |
![]() ![]() |
| Vinchkovsky |
23.02.2009 16:17
Сообщение
#2
|
|
Пионер ![]() ![]() Группа: Пользователи Сообщений: 98 Пол: Мужской Реальное имя: Andriy Репутация: 0 |
Мне вот интересно, такое задание сложное или нет (если учесть, что оно было дано на контрольной первокурсникам {которые почти год отдыхали от физики и совсем не практиковались в решении задач})?
Возможно, существует более естественное решение такой задачи (на такую мысль наталкивает удивление предподавателя "новизне"" решения И еще - заданий дают много, кое-что сам решаю, где-то помогает решебник. Но бесдумно переписывать желания нету, поэтому в крайних случаях обращаюсь за советом на форум. В связи с этим - вопрос: стоит ли создавать однотипные темы с просьбой помочь разобраться, или же в будущем создать единую тему для подобных вопросов? Сообщение отредактировано: Vinchkovsky - 23.02.2009 16:18 |
Vinchkovsky Кинематика/динамика 13.02.2009 22:48
Lapp Как получилось (1) - понятно? (простым дифференци... 14.02.2009 15:11
Vinchkovsky Дальше понятно.
Спасибо, что уже в который раз по... 14.02.2009 16:39
Lapp Спасибо, что уже в который раз помогли мнеЯ рад, ч... 15.02.2009 3:00
Vinchkovsky Задания из Иродова, другого решебника не нашёл (к... 15.02.2009 12:49
Lapp интересно, такое задание сложное или нет (если уче... 24.02.2009 1:44
Vinchkovsky
Хорошо, а если не брать во внимание то, что я пи... 24.02.2009 14:09
Lapp Как вы оцениваете уровень такого задания в сравнен... 24.02.2009 15:00
Vinchkovsky
Под "штучностью" я имел ввиду ввод допо... 24.02.2009 15:52
Lapp Под "штучностью" я имел ввиду ввод допол... 24.02.2009 16:01![]() ![]() |
|
Текстовая версия | 8.12.2025 18:09 |