IPB
ЛогинПароль:

> Компиляция правил для данного раздела

1. Заголовок темы должен быть информативным. В противном случае тема закрывается и удаляется ...
2. НЕ используйте форум для личного общения, все что не относится к обсуждению темы - на PM!
3. Одна тема - один вопрос (задача)
4. Спрашивайте и отвечайте четко и по существу!!!

> Неравенство с параметром, С3 из ЕГЭ
Айра
сообщение 18.05.2007 22:12
Сообщение #1


Профи
****

Группа: Пользователи
Сообщений: 731
Пол: Женский

Репутация: -  25  +


Привет))
В общем есть неравенство. Необходимо найти все значения х, удовлетворяющие неравенству при любом значении параметра а из промежутка. Проблема в том, что если промежуток для а представляет собой интервал между двумя цифрами, например, (-2;3), то у меня получается все решить. А если промежуток выглядит как (1; +бесконечности) - я решить не могу.. точнее я получаю промежуток для х, одно число которого совпадает с ответом, а другое - нет.
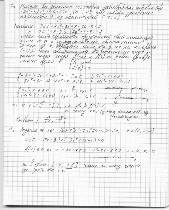
На картинке пример решения одного неравенства, и начало второго:
Прикрепленное изображение
Второе неравенство:
Цитата
найти все значения х, которые удовлетворяют неравенству (2а-3)x*x+2>(7а-5)х-6а при любом значении параметра а из промежутка (1; +бесконечности).

Я думаю, что во втором задании я тоже должна перейти к системе по типу первого, но я не могу ее составить, не понимаю по какому принципу... Можете объяснить, как решать второе неравенство, желательно таким же способом, как я решала первое?..
Заранее спасибо! smile.gif

Сообщение отредактировано: Айра - 18.05.2007 22:13
 Оффлайн  Профиль  PM 
 К началу страницы 
+ Ответить 

Сообщений в этой теме


 Ответить  Открыть новую тему 
1 чел. читают эту тему (гостей: 1, скрытых пользователей: 0)
Пользователей: 0

 



- Текстовая версия 13.12.2025 10:29
Хостинг предоставлен компанией "Веб Сервис Центр" при поддержке компании "ДокЛаб"