IPB
ЛогинПароль:

> Прочтите прежде чем задавать вопрос!

1. Заголовок темы должен быть информативным. В противном случае тема удаляется ...
2. Все тексты программ должны помещаться в теги [code=pas] ... [/code].
3. Прежде чем задавать вопрос, см. "FAQ", если там не нашли ответа, воспользуйтесь ПОИСКОМ, возможно такую задачу уже решали!
4. Не предлагайте свои решения на других языках, кроме Паскаля (исключение - только с согласия модератора).
5. НЕ используйте форум для личного общения, все что не относится к обсуждению темы - на PM!
6. Одна тема - один вопрос (задача)
7. Проверяйте программы перед тем, как разместить их на форуме!!!
8. Спрашивайте и отвечайте четко и по существу!!!

> помогите с алгоритмом ( в паскале), вычислить число в степени равной этому числу
pirozho4ek
сообщение 18.05.2007 4:08
Сообщение #1





Группа: Пользователи
Сообщений: 4
Пол: Мужской
Реальное имя: Юра

Репутация: -  0  +


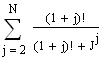
надо вычислить выражение:
при J:= от 2 до N (N>2) ------ это условие подразумевает что в проге вводится значение N, и перебирая поочереди значения от 2 до N вычисляется значение J^J при каждом значение J... а потом суммировать надо...
но мне надо узнать алгоритм самого вычесления выражения J^J
что б мог считать при любом значение >2
J^J:=?

помогите кто может с алгоритмом dry.gif

P.S. заранее благодарен=)

Сообщение отредактировано: pirozho4ek - 18.05.2007 4:53
 Оффлайн  Профиль  PM 
 К началу страницы 
+ Ответить 
 
 Ответить  Открыть новую тему 
Ответов
pirozho4ek
сообщение 18.05.2007 5:30
Сообщение #2





Группа: Пользователи
Сообщений: 4
Пол: Мужской
Реальное имя: Юра

Репутация: -  0  +


Прикрепленное изображение ЭТО ПОЛНОСТЬЮ ВЫРАЖЕНИЕ КОТОРОЕ МНЕ НАДО РЕШИТЬ В ПАСКАЛЕ.
Я НАПИСАЛ АЛГАРИТМ ДЛЯ НАХОЖДЕНИЯ И СУММИРОВАНИЯ ФАКТОРИАЛА,
А С j^j проблемка.

у переменых J,N тип integer
так вот... алгоритм нахождения J^J конкретно для этого примера мне нужен...
кто может помогите.... хотя б намекните в какую степь глядеть=)
 Оффлайн  Профиль  PM 
 К началу страницы 
+ Ответить 
samec
сообщение 18.05.2007 6:51
Сообщение #3


Бывалый
***

Группа: Пользователи
Сообщений: 180
Пол: Мужской
Реальное имя: Юра

Репутация: -  1  +


Цитата(pirozho4ek @ 18.05.2007 9:30) *

А С j^j проблемка.

А вчём проблема то?
вот код, возводит x в степень y.... только вот степень не должна превышать 32768, коль у тебя integer используется...

program step;
var
result,x,y,i:integer;
begin
readln(x);
readln(y);
result:=1;
for i:=1 to y do
result:=result*x;
writeln(result);
readln;
end.

 Оффлайн  Профиль  PM 
 К началу страницы 
+ Ответить 
pirozho4ek
сообщение 18.05.2007 7:37
Сообщение #4





Группа: Пользователи
Сообщений: 4
Пол: Мужской
Реальное имя: Юра

Репутация: -  0  +


парни соедините эти две проги так чтоб она высчитывала выражение Прикрепленное изображение


для фактариала
fac1,sum1:real;
j,i:integer;
begin
writeln('j');
readln(j);
sum1:=1;
for i:=0 to (j-1) do
begin
fac1:=(j-i)*1;
sum1:=sum1*fac1;
end;
writeln(sum1);
end.

для J^J
var
i, j, p : integer;
begin
j:=7;
p:=1;
begin
for i:=0 to j-1 do
begin
p:=p*j;
end;
writeln(p);
end;
end.
уменя ответы четто не сходятся с реальными вычислениями, попробуйте мож у вас получится=)

Сообщение отредактировано: pirozho4ek - 18.05.2007 7:46
 Оффлайн  Профиль  PM 
 К началу страницы 
+ Ответить 

Сообщений в этой теме


 Ответить  Открыть новую тему 
2 чел. читают эту тему (гостей: 2, скрытых пользователей: 0)
Пользователей: 0

 



- Текстовая версия 9.12.2025 6:10
Хостинг предоставлен компанией "Веб Сервис Центр" при поддержке компании "ДокЛаб"