1. Заголовок темы должен быть информативным. В противном случае тема удаляется ...
2. Все тексты программ должны помещаться в теги [code=pas] ... [/code].
3. Прежде чем задавать вопрос, см. "FAQ", если там не нашли ответа, воспользуйтесь ПОИСКОМ, возможно такую задачу уже решали!
4. Не предлагайте свои решения на других языках, кроме Паскаля (исключение - только с согласия модератора).
5. НЕ используйте форум для личного общения, все что не относится к обсуждению темы - на PM!
6. Одна тема - один вопрос (задача)
7. Проверяйте программы перед тем, как разместить их на форуме!!!
8. Спрашивайте и отвечайте четко и по существу!!!
| pirozho4ek |
18.05.2007 4:08
Сообщение
#1
|
|
Группа: Пользователи Сообщений: 4 Пол: Мужской Реальное имя: Юра Репутация: 0 |
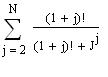
надо вычислить выражение:
при J:= от 2 до N (N>2) ------ это условие подразумевает что в проге вводится значение N, и перебирая поочереди значения от 2 до N вычисляется значение J^J при каждом значение J... а потом суммировать надо... но мне надо узнать алгоритм самого вычесления выражения J^J что б мог считать при любом значение >2 J^J:=? помогите кто может с алгоритмом P.S. заранее благодарен=) Сообщение отредактировано: pirozho4ek - 18.05.2007 4:53 |
![]() ![]() |
| pirozho4ek |
18.05.2007 5:30
Сообщение
#2
|
|
Группа: Пользователи Сообщений: 4 Пол: Мужской Реальное имя: Юра Репутация: 0 |
Я НАПИСАЛ АЛГАРИТМ ДЛЯ НАХОЖДЕНИЯ И СУММИРОВАНИЯ ФАКТОРИАЛА, А С j^j проблемка. у переменых J,N тип integer так вот... алгоритм нахождения J^J конкретно для этого примера мне нужен... кто может помогите.... хотя б намекните в какую степь глядеть=) |
pirozho4ek помогите с алгоритмом ( в паскале) 18.05.2007 4:08
Lapp
при J:=2..N (N>2)
J^J:=?
Не совсем понятно... 18.05.2007 4:38
samec
А С j^j проблемка.
А вчём проблема то?
вот код,... 18.05.2007 6:51
pirozho4ek парни соедините эти две проги так чтоб она высчиты... 18.05.2007 7:37
pirozho4ek :blink: через 1.5 часа мне сдавать ну хоть кто-ни... 18.05.2007 9:24
мисс_граффити Ты бы хоть правила прочитал.
Они написаны в верхне... 18.05.2007 9:40
klem4 Пользуйся тегами.
var
i, j, k, n, T, P: LongInt... 18.05.2007 9:49![]() ![]() |
|
Текстовая версия | 9.12.2025 1:09 |