IPB
ЛогинПароль:

> Компиляция правил для данного раздела

1. Заголовок темы должен быть информативным. В противном случае тема закрывается и удаляется ...
2. НЕ используйте форум для личного общения, все что не относится к обсуждению темы - на PM!
3. Одна тема - один вопрос (задача)
4. Спрашивайте и отвечайте четко и по существу!!!

> Странная функция, Сиквел
Perfez
сообщение 6.10.2010 7:25
Сообщение #1


Бывалый
***

Группа: Модераторы
Сообщений: 231
Пол: Женский

Репутация: -  6  +


Допустим что,
Функция g cуществует только при соблюдения условия x>0
+ она обладает нижеследующим свойством, при соблюдении условия a>0 и b>0:
g(1)=0
g(a/b)=g(a)-g(b)

Стоп, всё это лирическое отступление blum.gif Мне же нужно определить, какой является функция f(x)=g(x+(x2+1)1/2) - чётной, нечётной или вообще никакой?

Oтлично понимаю, что выражение x+(x2+1)1/2 нужно каким-либо образом свести на a/b. Дело лишь в том, что как бы я не игрался со внутренней частью функции g, все пути будто ведут в ненужному мне g(что-то)-g(1) nea.gif

Идеи?
 Оффлайн  Профиль  PM 
 К началу страницы 
+ Ответить 
 
 Ответить  Открыть новую тему 
Ответов(1 - 11)
мисс_граффити
сообщение 6.10.2010 7:49
Сообщение #2


просто человек
******

Группа: Модераторы
Сообщений: 3 641
Пол: Женский
Реальное имя: Юлия

Репутация: -  55  +


f(x)=g(x+(x2+1)1/2) = g((x2-x2-1)/(x-(x2+1)1/2))=g(-1/(x-(x2+1)1/2))=-g((x2+1)1/2-x)

получается, f(x)=-f(-x)
нечетная

*проверяй, могла ошибиться

Сообщение отредактировано: мисс_граффити - 6.10.2010 15:58


--------------------
Все содержимое данного сообщения (кроме цитат) является моим личным скромным мнением и на статус истины в высшей инстанции не претендует.
На вопросы по программированию, физике, математике и т.д. в аське и личке не отвечаю. Даже "один-единственный раз" в виде исключения!
 Оффлайн  Профиль  PM 
 К началу страницы 
+ Ответить 
TarasBer
сообщение 6.10.2010 15:39
Сообщение #3


Злостный любитель
*****

Группа: Пользователи
Сообщений: 1 755
Пол: Мужской

Репутация: -  62  +


Что-то мне эти функции напоминают...
g=ln(x)
f=(sh^-1)(x)


--------------------
 Оффлайн  Профиль  PM 
 К началу страницы 
+ Ответить 
Perfez
сообщение 6.10.2010 18:36
Сообщение #4


Бывалый
***

Группа: Модераторы
Сообщений: 231
Пол: Женский

Репутация: -  6  +


мисс_граффити good.gif

разве что, скорее не нечётная и не чётная:
g(x+(x2+1)1/2)

-g((x2+1)1/2-x)


TarasBer, а что за sh-1?



 Оффлайн  Профиль  PM 
 К началу страницы 
+ Ответить 
volvo
сообщение 6.10.2010 18:51
Сообщение #5


Гость






Цитата
скорее не нечётная и не чётная:
С чего бы? Нечетная, потому как:
-g((x2+1)1/2-x) = -g((-x) + ((-x)2 + 1)1/2)
 К началу страницы 
+ Ответить 
Perfez
сообщение 6.10.2010 19:22
Сообщение #6


Бывалый
***

Группа: Модераторы
Сообщений: 231
Пол: Женский

Репутация: -  6  +


Пардон, тогда я что-то недопонимаю unsure.gif

нечётной является та функция, которая удовлетворяет:
f(a)=-f(-a)


у нас есть начальная функция
g(x+(x2+1)1/2)
и если представить
а=(x+(x2+1)1/2)
то чтобы она была нечётной, нам нужно прийти к
-g(-(a))
что является
-g(-((x+(x2+1)1/2)))=-g(-x-(x2+1)1/2)

не так?
 Оффлайн  Профиль  PM 
 К началу страницы 
+ Ответить 
TarasBer
сообщение 6.10.2010 19:41
Сообщение #7


Злостный любитель
*****

Группа: Пользователи
Сообщений: 1 755
Пол: Мужской

Репутация: -  62  +


sh - гиперболический синус

(exp(x)+exp(-x))/2

sh^-1 - это я так назвал обратную функцию, по-нормальному она, вроде, называется arsh. Равна ln(x+sqrt(x*x+1))


--------------------
 Оффлайн  Профиль  PM 
 К началу страницы 
+ Ответить 
volvo
сообщение 6.10.2010 21:14
Сообщение #8


Гость






Цитата
Мне же нужно определить, какой является функция f(x)=g(x+(x2+1)1/2) - чётной, нечётной или вообще никакой?
Вот и определяй:
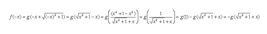
Прикрепленное изображение

Что не так?
 К началу страницы 
+ Ответить 
Lapp
сообщение 6.10.2010 22:15
Сообщение #9


Уникум
*******

Группа: Модераторы
Сообщений: 6 823
Пол: Мужской
Реальное имя: Лопáрь (Андрей)

Репутация: -  159  +


Я извиняюсь за "оффтоп" - кто мне может подсказать, что (в данном случае, а не вообще)) означает подзаголовок темы? Второй день мучаю себя догадками.. unsure.gif

Perfez, ты просто нарисуй график. Или - еще проще - возьми число, скажем 5, и подставь в формулу: сначала 5, а потом -5. И все увидишь. Недостаточно - возьми еще число, и еще.. Всякий раз, когда чувствуешь, что теряешь понимание - не гнушайся самыми простыми методами, "от печки".


--------------------
я - ветер, я северный холодный ветер
я час расставанья, я год возвращенья домой
 Оффлайн  Профиль  PM 
 К началу страницы 
+ Ответить 
мисс_граффити
сообщение 7.10.2010 7:56
Сообщение #10


просто человек
******

Группа: Модераторы
Сообщений: 3 641
Пол: Женский
Реальное имя: Юлия

Репутация: -  55  +


Perfez, функции g(a) и g(-a) - это по сути бред. Прочитай задание. Одна из них (при а=0 обе) не определена вообще.


--------------------
Все содержимое данного сообщения (кроме цитат) является моим личным скромным мнением и на статус истины в высшей инстанции не претендует.
На вопросы по программированию, физике, математике и т.д. в аське и личке не отвечаю. Даже "один-единственный раз" в виде исключения!
 Оффлайн  Профиль  PM 
 К началу страницы 
+ Ответить 
Perfez
сообщение 7.10.2010 13:21
Сообщение #11


Бывалый
***

Группа: Модераторы
Сообщений: 231
Пол: Женский

Репутация: -  6  +


мисс_граффити, volvo - пардон, осёкся!

Lapp
Значит что, моя одиссея с функциями всё ещё продолжается smile.gif

Спасибо!
 Оффлайн  Профиль  PM 
 К началу страницы 
+ Ответить 
Lapp
сообщение 7.10.2010 23:16
Сообщение #12


Уникум
*******

Группа: Модераторы
Сообщений: 6 823
Пол: Мужской
Реальное имя: Лопáрь (Андрей)

Репутация: -  159  +


Цитата(Perfez @ 7.10.2010 14:21) *
Значит что, моя одиссея с функциями всё ещё продолжается smile.gif
Аааа!.. врубился, наконец. Извиняюсь за тормоза.. ))


--------------------
я - ветер, я северный холодный ветер
я час расставанья, я год возвращенья домой
 Оффлайн  Профиль  PM 
 К началу страницы 
+ Ответить 

 Ответить  Открыть новую тему 
1 чел. читают эту тему (гостей: 1, скрытых пользователей: 0)
Пользователей: 0

 



- Текстовая версия 8.12.2025 19:52
Хостинг предоставлен компанией "Веб Сервис Центр" при поддержке компании "ДокЛаб"