IPB
ЛогинПароль:

> Прочтите прежде чем задавать вопрос!

1. Заголовок темы должен быть информативным. В противном случае тема удаляется ...
2. Все тексты программ должны помещаться в теги [code=pas] ... [/code].
3. Прежде чем задавать вопрос, см. "FAQ", если там не нашли ответа, воспользуйтесь ПОИСКОМ, возможно такую задачу уже решали!
4. Не предлагайте свои решения на других языках, кроме Паскаля (исключение - только с согласия модератора).
5. НЕ используйте форум для личного общения, все что не относится к обсуждению темы - на PM!
6. Одна тема - один вопрос (задача)
7. Проверяйте программы перед тем, как разместить их на форуме!!!
8. Спрашивайте и отвечайте четко и по существу!!!

 
 Ответить  Открыть новую тему 
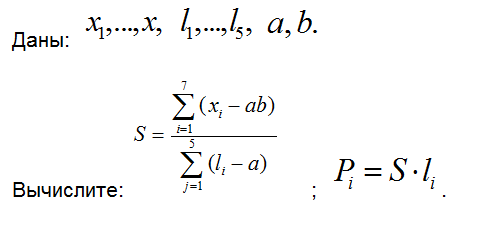
> Даны x1,...,x, l1,...,l5, a,b. Вычислите: ...
Djeyms
сообщение 13.04.2009 23:13
Сообщение #1





Группа: Пользователи
Сообщений: 5
Пол: Мужской
Реальное имя: Павел

Репутация: -  0  +


Помогите пожалуйста, составить блок схему и текст программы ...
Прикрепленное изображение
Заранее спасибо за помощь !!!
 Оффлайн  Профиль  PM 
 К началу страницы 
+ Ответить 
Lapp
сообщение 14.04.2009 6:04
Сообщение #2


Уникум
*******

Группа: Модераторы
Сообщений: 6 823
Пол: Мужской
Реальное имя: Лопáрь (Андрей)

Репутация: -  159  +


В условии нет ошибки? Мне кажется, в данных должно быть x7, а не просто x...

В чем загвоздка-то? Вводишь a и b, потом в циклах вводишь переменные с индексами в массивы. Потом в одном цикле вычисляешь числитель, в другом - знаменатель (перед каждым циклом инициируешь нулем переменную для суммы). Потом делишь одно на другое - вот тебе S. Потом еще один цикл для вычисления Pi.

Сделай и покажи, что получилось.


--------------------
я - ветер, я северный холодный ветер
я час расставанья, я год возвращенья домой
 Оффлайн  Профиль  PM 
 К началу страницы 
+ Ответить 

 Ответить  Открыть новую тему 
1 чел. читают эту тему (гостей: 1, скрытых пользователей: 0)
Пользователей: 0

 



- Текстовая версия 8.12.2025 12:06
Хостинг предоставлен компанией "Веб Сервис Центр" при поддержке компании "ДокЛаб"