IPB
ЛогинПароль:

> Компиляция правил для данного раздела

1. Заголовок темы должен быть информативным. В противном случае тема закрывается и удаляется ...
2. НЕ используйте форум для личного общения, все что не относится к обсуждению темы - на PM!
3. Одна тема - один вопрос (задача)
4. Спрашивайте и отвечайте четко и по существу!!!

 
 Ответить  Открыть новую тему 
> Интегралы, найдите ошибку, пожалуйста
-Екатерина-
сообщение 28.03.2007 12:09
Сообщение #1


Пионер
**

Группа: Пользователи
Сообщений: 82
Пол: Женский

Репутация: -  0  +


1, инт dx/sqrt(5-7x+3x^2)
у меня получается так: выделяю полный квадрат z=x-7/6 ? тогда
1/sqrt(3)инт dz/sqrt(z^2+11/36) а это по таблице будет 1/sqrt(3)ln (z+sqrt(z^2+11/36))
не могу понять где у меня ошибка...

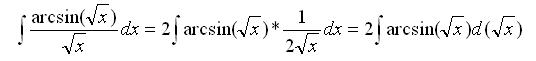
2, инт arcsin(sqrtx)/sqrt(x)
делаю по частям: u=arcsin (sqrt(x)) du=dx/sqrt(1-x) dv=dx/sqrt(x) v=2sqrt(x)

и как взять инт sqrt(x)/sqrt(1-x)dx????

заранее спасибо
 Оффлайн  Профиль  PM 
 К началу страницы 
+ Ответить 
мисс_граффити
сообщение 28.03.2007 15:36
Сообщение #2


просто человек
******

Группа: Модераторы
Сообщений: 3 641
Пол: Женский
Реальное имя: Юлия

Репутация: -  55  +


1. А почему ты думаешь, что там ошибка?
2. Я бы по-другому решала.
Прикрепленное изображение
дальше разберешься?


--------------------
Все содержимое данного сообщения (кроме цитат) является моим личным скромным мнением и на статус истины в высшей инстанции не претендует.
На вопросы по программированию, физике, математике и т.д. в аське и личке не отвечаю. Даже "один-единственный раз" в виде исключения!
 Оффлайн  Профиль  PM 
 К началу страницы 
+ Ответить 

 Ответить  Открыть новую тему 
1 чел. читают эту тему (гостей: 1, скрытых пользователей: 0)
Пользователей: 0

 



- Текстовая версия 9.10.2025 9:53
Хостинг предоставлен компанией "Веб Сервис Центр" при поддержке компании "ДокЛаб"